Purutasun handiko glukosamina Sulfato sodio kloruroa Deli Biokimikoko Osasun Bateratuentzako Kloruroa farmazia-mailako osasun osagai bat da. Handizkako ontziak, prezio lehiakorrak eta laguntza teknikoa eskaintzen ditugu.
	
	
 
Xi'an Deli Biokimika Industria Co., Ltd. Ziklodextrina eta bere eratorriak ikertzen eta garatzen, ekoizten eta salmentetan espezializatutako teknologia handiko enpresa da. 1999ko abuztuaren 27an establezimendua izan zenetik, konpainiak "osagarriak, kalitatezko lehen zerbitzua, lehen mailako zerbitzua lortzeko ahalegina egin du" kalitate politikaren aurrean ".
	
Xi'an Deli Biokimikoak glukosamina sulfato sodio kloruroa eskaintzen du garbitasun fidagarriarekin eta laguntza bateratuko errendimendu bikainarekin. 20 urtetik gorako produkzio esperientzia duen fabrikatzaile fidagarri gisa, handizkako hornidura, prezio lehiakorra eta BSMP betetzen ditugu erosle globaletarako. Osasun osagarri eta albaitaritzako produktuetan erabiltzeko aproposa.
	 
 
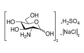
Garbitasun handiko glukosamina sulfato sodio kloruroa osasunerako osasunerako
	
Glukosamina Sulfato Sodio kloruroa oso erabilia da farmazia eta nutraceutiko formulazioetan, osteoartritis eta endekapen bateratua tratatzeko. Kartilagoen birsorkuntza onartzen du, hantura murrizten du eta juntura ondoeza arintzen du.
	
Garbitasun handiko glukosamina sulfato sulfatoa eskaintzen dugu, tabletan, kapsuletan eta hautsetan erabiltzeko aproposa. Gure produktuak kalitate koherentea, hornidura fidagarria bermatzen du eta I + G eta merkataritza ekoizpenean erabiltzeko egokia da.
	
Aukeratu zure hornitzaile fidagarria, osasun-osagaiak osatzeko, prezio lehiakorrekin eta bidalketa globalarekin.
	
	
Glukosamina sulfatoaren sodio kloruroaren aplikazioak:
	
Farmaziak:
Preskripzio eta OTC drogetan erabiltzen da osteoartritisa eta bateratutako beste baldintza batzuk kudeatzeko.
	
Nutrizio osagarriak:
Mugikortasun eta kartilagoen osasuna hobetzera zuzendutako kapsulak, tabletak eta hautsak oso formulatuak.
	
Elikagai funtzionalak:
Osasun edarietan eta elikagai gotortuei sartuta, hezur eta ongizate bateratua laguntzeko.
	
Albaitaritza:
Maskota osagarrietan erabiltzen da endekapen bateratua tratatzeko eta animalien zahartzeetan mugikortasuna hobetzeko.
	
Kosmeceutikoak:
Batzuetan, hanturazko eta larruazaleko efektu antiinflamatorientzako formulazio topikoei gehitu.