Gure fabrika Txinan Betadex Sulfobutyl Ether Sodium SBECD 182410-00-0 fabrikatzaile eta hornitzaile ezaguna da. Doako laginak eskuragarri daude eta gure produktuak stockean daude.
Produktuaren izena: Betadex Sulfobutyl Ether Sodium
CAS zenbakia: 182410-00-0
Kategoria: eszipiente farmazeutikoa
Funtzioa: Disolbatzailea/Konplexu-agentea/Bioeskuragarritasunaren indartzailea
Disolbagarritasuna: Uretan aske disolbagarria
Aplikazioa: formulazio injektagarriak; Gaizki disolbagarriak diren APIak; Droga egonkortzea eta usain maskaratzea.
MOQ: 1 kg
OEM/ODM: Eskuragarri
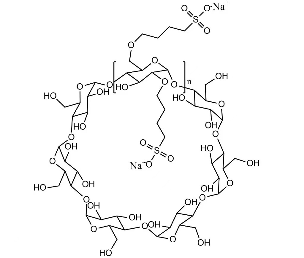
Zer da Betadex Sulfobutyl Ether Sodium?
Betadex Sulfobutil Eter Sodioa SBECD 182410-00-0 purutasun handiko eta uretan disolbagarria den ziklodextrina deribatu bat da, produktu farmazeutiko injektagarri eta parenteraletarako bereziki diseinatua. Eszipiente honek disolbagarritasun gutxiko osagai farmazeutiko aktiboen (API) disolbagarritasun, egonkortasun eta biodisponibilitatea hobetzen ditu. Bere egitura molekular bereziak inklusio konplexu egonkorrak eratzen ditu, errendimendu terapeutiko koherentea eta sendagaien entrega fidagarria bermatuz.
Zain barneko, muskulu barneko eta larruazalpeko formulazioetarako egokia, SBECDek prezipitazioa saihesten du, degradazio kimikoa murrizten du eta API sentikorren egonkortasuna mantentzen du. Disolbagarritasuna hobetzea eta egonkortasuna eskatzen duten soluzio oftalmikoetarako, sudur-sprayetarako eta beste formulazio likidoetarako ere aproposa da. Ur-disolbagarritasun handia, toxikotasun baxua eta biobateragarritasuna ikerkuntzarako, garapen klinikorako eta produktu injektagarri komertzialetarako eszipiente hobetsia bihurtzen dute.

Betadex Sulfobutil Ether Sodium SBECD 182410-00-0Zehaztapena
|
Produktuaren izena |
Betadex Sulfobutil Eter Sodioa |
|
Beste izena |
Sulfobutil eter β-ziklodextrina sodio gatza |
|
Zehaztapena |
USP/EP/JP/ChP |
|
Kategoria |
Eszipiente farmazeutikoa |
|
Apalategiko Denbora |
36 hilabetehs |
|
MOQ |
1 kg |
|
Entregatzeko Denbora |
3-5 lanegun |
|
Paketea |
500 g/poltsa; 1 kg/poltsa; 10kg/zuntz danborra |
Betadex Sulfobutil Eter Sodio SBECD 182410-00-0 COA
Xi'an Deli Biochemical Industry Co., Ltd. 1999an sortu zen eta ziklodextrina farmazia exzipienteetan espezializatutako fabrikatzaile profesionala da. 25 urte baino gehiagoko etengabeko garapenarekin, esperientzia tekniko sendoa eta kalitate handiko ziklodextrina deribatuetara bideratutako ekoizpen sistema egonkorra eraiki dugu.
Gure oinarrizko produktuak Hydroxypropyl Betadex (HPβCD) eta Betadex Sulfobutyl Ether Sodium (SBE-β-CD) dira, farmazia, albaitaritza eta formulazio kimikoetan oso erabiliak diren osagai aktibo disolbagarrien solubilizazio, egonkortze, usain estaltzeko eta biodisponibilitatea hobetzeko. Lotez lote garbitasun koherentea, errendimendu fidagarria eta laguntza teknikoa bermatzen ditugu farmazia, albaitaritza eta kosmetika merkatu globaletarako. Datu tekniko zehatzak, analisi-ziurtagiriak (COA) eta laginaren ebaluazioa eskuragarri daude formulazioaren garapena errazteko eta produktuaren errendimendua optimizatzeko.
• 25 urte baino gehiagoko esperientzia ziklodextrina deribatuetan fabrikatzen
• Ekoizpen ahalmen egonkorra 2-3 tona metrikoko loteekin
• Urteko ekoizpena 200 tona metrikoraino, hornidura fidagarria bermatuz
• Zentratutako produktuak: Hidroxipropil Betadex eta Betadex Sulfobutil Ether Sodium
• USP / EP / JP / ChP betetzen duena, farmazia-merkatu globaletarako egokia
• Kalitate koherentea lotez lote kontrol zorrotzarekin
• Hornidura malgua, MOQ 1 kg-tik aurrera, I+G-a produkzio komertzialeraino lagunduz
Gure bazkide globalei kalitate egonkorra, hornidura fidagarria eta laguntza profesionala eskaintzeko konpromisoa hartzen dugu.
I+G eta indar teknikoa
Xi'an Deli Biochemical Industry Co., Ltd.-k barneko I+G talde bat eta ekoizpen sistema osoa ditu, auto-fabrikazio eta salmenta zuzeneko eredu baten arabera funtzionatzen duena. Gure taldea eszipienteen berrikuntzan eta formulazio-laguntzan zentratzen da bezeroen behar askotarikoei erantzuteko.
Ekoizpeneko langile guztiek GMP prestakuntza jasotzen dute, eta gure laborategia tresna aurreratuekin hornituta dago, hala nola HPLC, GC, HPCE, IR, polarimetroa, pH-neurgailua, eroankortasun-neurgailua eta hezetasun-analisia, proba fidagarriak eta produktuaren kalitate koherentea bermatuz.
Kalitate Sailak estuki lan egiten du Materialekin eta Ekoizpenarekin hornitzaileak ikuskatzeko, laginak atxikitzeko eta egonkortasun-azterketak egiteko, kalitate handiko eszipienteak mantenduz I+Gtik merkatura atera arte.
Jarraian, nazioarteko erakusketetan gure taldearen irudiak eta gure ziurtagiri dokumentuak ikus ditzakezu, gure indar teknikoa eta industriaren aitorpena nabarmenduz.
Ohiko galderak - Betadex Sulfobutyl Ether Sodium (SBECD)
1.G.: Zertarako erabiltzen da SBECD?
SBECD ziklodextrinan oinarritutako eszipiente farmazeutiko bat da, disolbagarritasun gutxiko APIen disolbagarritasuna eta egonkortasuna hobetzeko erabiltzen dena, batez ere formulazio injektagarrietarako.
2.G.: Zein estandar betetzen ditu zure SBECDk?
Gure SBECDk USP/EP/JP/ChP farmakopeiako estandarrak betetzen ditu.
Q3: Fabrikatzailea edo merkataria zara?
Betadex Sulfobutil Eter Sodioa fabrikatzaile zuzena gara, kalitate egonkorra, prezio lehiakorrak eta hornidura fidagarria bermatuz.
Q4: Laginak eta dokumentu teknikoak eman ditzakezu?
Bai. Laginak, COA, MSDS eta datu teknikoak eskuragarri daude eskaeran.
Q5: Zein da zure ekoizpen-gaitasuna eta hornikuntza-gaitasuna?
Eskala komertzialeko hornikuntza onartzen dugu, gutxi gorabehera 2,5 tonako lotearen tamainarekin eta urteko 200 tona inguruko ekoizpen-ahalmena duena, hornikuntza epe luzerako egonkortasuna bermatuz.
👉 Jarri gurekin harremanetan orain laginak, zehaztapenak edo prezioen laguntza lortzeko.
Sulfobutyl Ether Beta Cyclodextrin Hauts Injektagarria kalifikazio farmazeutiko excipiente
Betadex Sulfobutyl Ether Sodium CAS NO 182410-00-0
Sulfobutil Ether Beta Cyclodextrin Sodium
Betadex Sulfobutyl Ether Sodium Injekzio-maila
Betadex Sulfobutyl Ether Sodium SBECD Injektagarria Droga-formulazioetarako
Betadex Sulfobutyl Ether Sodium CAS 182410-00-0