Sulfobutyl Ether Beta Cyclodextrin Hauts Injektagarria kalifikazio farmazeutiko excipiente
  • Sulfobutyl Ether Beta Cyclodextrin Hauts Injektagarria kalifikazio farmazeutiko excipiente Sulfobutyl Ether Beta Cyclodextrin Hauts Injektagarria kalifikazio farmazeutiko excipiente
  • Sulfobutyl Ether Beta Cyclodextrin Hauts Injektagarria kalifikazio farmazeutiko excipiente Sulfobutyl Ether Beta Cyclodextrin Hauts Injektagarria kalifikazio farmazeutiko excipiente

Sulfobutyl Ether Beta Cyclodextrin Hauts Injektagarria kalifikazio farmazeutiko excipiente

Sulfobutyl Ether Beta Cyclodextrin Hauts Injektagarria kalifikazio farmazeutiko excipiente
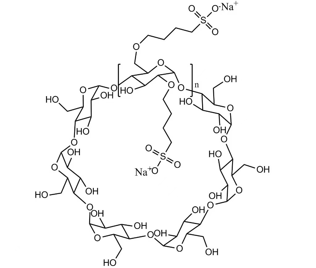
Produktuaren izena: Betadex Sulfobutyl Ether Sodium
CAS zenbakia: 182410-00-0
Farmakopeiako estandarra: EP eta USP
Itxura: hauts amorfo zuritik zuria
Saiakera: ≥99,0%
Aplikazioak: formulazio farmazeutiko injektagarriak eta parenteralak
Enbalatzea: 500 g/poltsa; 1 kg/poltsa; 10 kg/poltsa; 10 kg/danbor; ontzi pertsonalizatuak eskuragarri

Bidali kontsulta

Produktuaren Deskribapena

Sulfobutyl Ether Beta Cyclodextrin Hauts Injektagarria kalifikazio farmazeutiko excipiente(CAS 182410-00-0) β-cyclodextrin deribatu anioniko oso ur-disolbagarria da formulazio farmazeutiko injektagarrietarako bereziki garatua. SBECD disolbatzaile, hezetzaile, kelatzaile eta maskaratzaile gisa funtzionatzen du, disolbagarritasun eskaseko APIen disolbagarritasuna, egonkortasuna eta segurtasuna hobetuz.

Injektagarri-mailako eszipiente hau sendagaiak zain barneko, muskulu barneko eta larruazalpeko emateko egokia da. SBECD-k giltzurruneko toxikotasuna murrizten du, hemolisia gutxitzen du, nitrogenodun APIak egonkortzen ditu eta askapen kontrolatua ahalbidetzen du, droga-usain desatseginak ezkutatzen dituen bitartean.

Enpresaren Aurkezpena

Xi'an DELI Biochemical Industry Co., Ltd.1999an sortu zen eta 26 urte baino gehiagoko esperientzia du ziklodextrina deribatuen ikerketan, ekoizpenean eta komertzializazioan. Oinarrizko produktuak barne hartzen dituSulfobutil Eter Beta Ziklodextrina (SBECD)etaHidroxipropil Betadex (HPBCD). DELIk purutasun handiko produktuak, koherenteak eta arauak betetzen dituztenak eskaintzen ditu merkatu farmazeutiko globaletarako.

DELI-k produkzio-lerro aurreratuak eta kalitate-kontrol-sistema dedikatuak erabiltzen ditu lotez lote koherentzia bermatzeko. COA, dokumentazio teknikoa eta formulazio laguntza eskuragarri daude mundu osoan I+G, garapen klinikoa eta ekoizpen komertziala laguntzeko.



Produktuaren zehaztapenak


CAS zenbakia: 182410-00-0
Formula molekularra: C42H70-nO35·(C4H8SO3Na)n
Kalifikazioa: injektagarria, EP eta USP betetzen duena
Itxura: hauts amorfo zuritik zuria
Saiakera: ≥99,0%
Aplikazioak: formulazio farmazeutiko injektagarriak eta parenteralak
Enbalatzea: 500 g/poltsa; 1 kg/poltsa; 10kg/poltsa; 10kg/danborra; ontzi pertsonalizatuak eskuragarri
Biltegiratzea: itxita eta lehorra
Iraupena: 36 hilabete
COA / Kalitatearen Bermea:Lote bakoitza probaren garbitasuna, bakterioen endotoxinak, hondar disolbatzaileak, metal astunak eta ordezkapen-maila (DS) batez bestekoa probatzen dira, USP eta EP estandarrak betez.


Produktuen Aplikazioak

SBECD API injektagarrien disolbagarritasuna, egonkortasuna eta segurtasuna hobetzeko erabiltzen da. Antifungikoetan, birusen kontrakoetan, kardiobaskularretan eta onkologikoan injektatzen diren sendagaietan aplikatzen da. SBECDk inklusio-konplexuak sortzen ditu nitrogenoa duten drogekin, askapen kontrolatua emanez eta toxikotasuna murrizteko.


  • Merkaturatutako produktu aipagarrienak hauek dira:
  • Remdesivir
  • Mephalan klorhidrato injekzioa
  • Posaconazol injekzioa
  • Cilasirone mesilatoa
  • Voriconazol injekzioa



Ohiko galderak

G: Xi'an DELI Biochemical SBECD-ren fabrikatzailea al da?
A: Bai, DELIk Sulfobutyl Ether Beta Cyclodextrin (SBECD) eta Hydroxypropyl Betadex (HPBCD) ekoizten ditu. Beta Cyclodextrin deribatuen lehengaia da.

G: Laginak eskuragarri al daude?
E: Bai, SBECDren laginak daude ebaluatzeko.

G: Zein da sorta eta urteko produkzio-ahalmena?
A: loteen ekoizpen-ahalmena 2,5 tonakoa da; urteko ekoizpena 200 tona gainditzen du.

G: Zer arauzko dokumentu ematen dira?
A: COA, MSDS, egonkortasun-datuak eta espediente teknikoak eskuragarri daude.

G: Bidalketa aukerak?
A: Bidalketa globala airez, itsasoz edo espresuki mezularitza bidez.


Kontsulta eta Laguntza Teknikoa

Jarri harremanetan Xi'an DELI Biochemical laginak, dokumentazio teknikoa edo aurrekontuak eskatzekoSulfobutyl Ether Beta Cyclodextrin Hauts Injektagarria kalifikazio farmazeutiko excipiente. Gure taldeak formulazioaren garapena onartzen du hornikuntza fidagarriarekin eta esperientzia profesionalarekin.


SBECD Packaging


Hot Tags: Sulfobutyl Ether Beta Cyclodextrin Hauts Injektagarria kalifikazio farmazeutiko eszipientea, Fabrikatzaileak, Hornitzaileak, Txina, Fabrika, Solana, Doako Lagina, Txinan egindakoa, Stocka, Handizkakoa, Erosi

Lotutako Kategoria

Bidali kontsulta

Mesedez, eman lasai zure kontsulta beheko formularioan. 24 ordutan erantzungo dizugu.
icon
X
Cookieak erabiltzen ditugu nabigazio esperientzia hobea eskaintzeko, guneko trafikoa aztertzeko eta edukia pertsonalizatzeko. Gune hau erabiltzean, gure cookieen erabilera onartzen duzu. Pribatutasun politika
Baztertu Onartu