Industria Berriak

Disolbagarritasuna eta egonkortasuna hobetzeko ziklodextrinan oinarritutako soluzioak

2025-12-23 - Utzi mezu bat

Disolbagarritasuna eta egonkortasuna hobetzeko ziklodextrinan oinarritutako soluzioak

Hydroxypropyl Betadex eta Betadex Sulfobutyl Ether Sodium-en ikuspegi teknikoa

Ziklodextrinek oso ezagunak dira disolbagarriak diren edo kimikoki sentikorrak diren konposatuen disolbagarritasuna eta egonkortasuna hobetzeko duten gaitasunagatik. Egitura molekular zikliko berezia dela eta, ziklodextrinak eta haien deribatuak eszipiente funtzional garrantzitsuak bihurtu dira farmazia, kimiko eta erlazionatutako formulazio-eremuetan. Baldintza tekniko eta erregulatzaile gero eta handiagoari erantzuteko, Xi'an Deli Biochemical-ek dokumentazio teknikoa eta produktuaren laguntza gehiago hobetu ditu ziklodextrinaren deribatu nagusietarako:hidroxipropil betadex (HPBCD) eta betadex sulfobutil eter sodioa (SBECD).


Ziklodextrinen egitura-ezaugarriak eta errendimendu funtzionala

Ziklodextrinak α-1,4 lotura glikosidikoen bidez lotuta dauden glukosa-unitatez osatutako oligosakarido ziklikoak dira. Haien arkitektura molekularra kanpoko gainazal hidrofiloa eta barrunbe nahiko hidrofoboa ditu, molekula gonbidatu ugarirekin inklusio konplexuak sortzea ahalbidetzen duena. Cyclodextrin egituraren aldaketa kimikoak ur-disolbagarritasuna nabarmen hobetu dezake eta aplikazioaren aldakortasuna zabaltzen du.


Hidroxipropil Betadex (HPBCD)


Hydroxypropyl betadex kimikoki eraldatutako β-cyclodextrin bat da, bertako ziklodextrinen disolbagarritasun mugatua gainditzeko diseinatua. Bere ur-disolbagarritasun hobeak eta bateragarritasun onak HPBCD egokia egiten du sistema ezberdinetan solubilizazio, egonkortze eta formulazio malgutasun eraginkorra eskatzen duten aplikazioetarako.


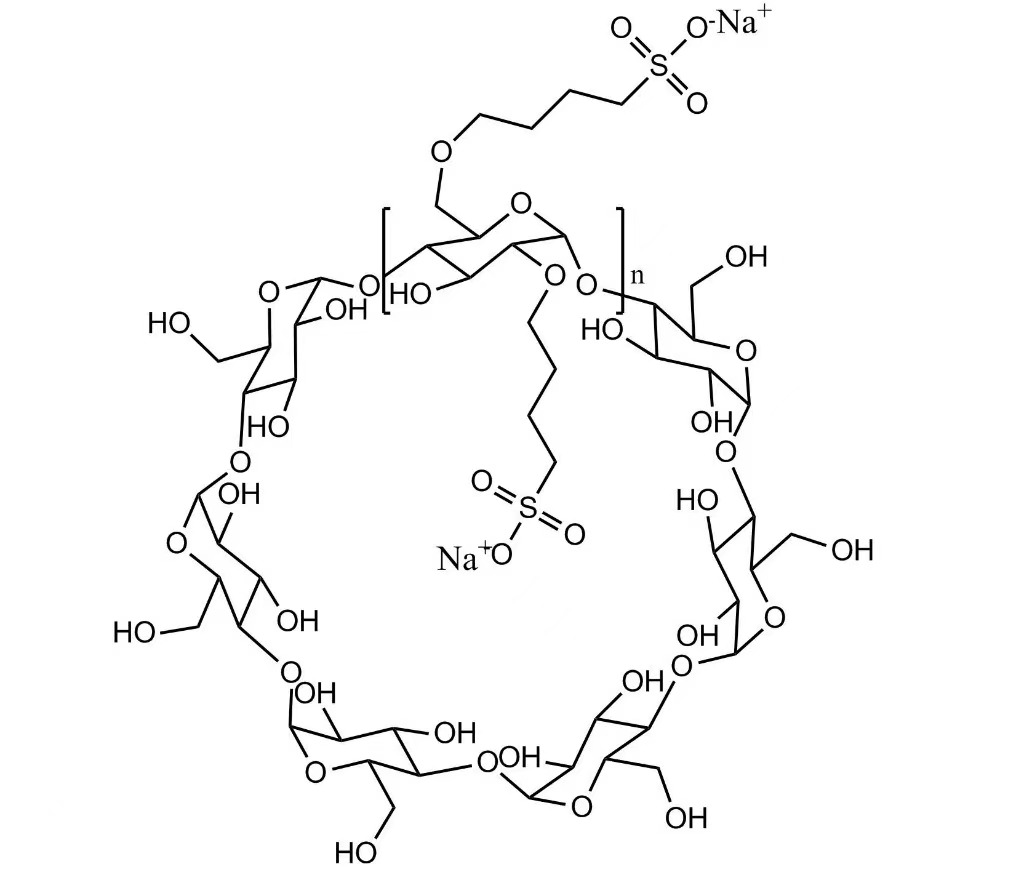
Betadex Sulfobutil Eter Sodioa (SBECD)


Betadex sulfobutil eter sodioa ciclodextrina anioniko deribatu bat da, sulfobutil eter ordezkatzaileak dituena. Egitura honek konposatu espezifikoekiko interakzio elektrostatikoak hobetzen ditu, disolbagarritasuna, egonkortasun konplexua eta formulazioaren sendotasuna hobetzen dituen aplikazio zorrotzagoetan.

Produktuaren informazio estandarizatua eta laguntza teknikoa

Formulazioaren garapena, kalitatearen ebaluazioa eta erosketa-prozesuak hobeto laguntzeko, Xi'an Deli Biochemical-ek HPBCD eta SBECD produktuen informazioa sistematikoki eguneratu du, besteak beste:


  • Produktuen zehaztapenak eta parametro analitikoak argi definitu eta normalizatuta
  • Loteen berariazko analisi-ziurtagiriak (COA) trazabilitatea eta kalitatea egiaztatzea bermatzeko
  • Manipulazioari, biltegiratzeari eta aplikazio tipikoei buruzko galdera tekniko hedatuak
  • Berrikuspen eta hautaketa tekniko eraginkorrak errazteko diseinatutako produktuen laburpen optimizatuak


Hobekuntza hauek gardentasuna areagotzea, ebaluazio-epeak murriztea eta produktuaren errendimendu koherentea babestea hornikuntza-ziklo osoan.


Fabrikazio Esperientzia eta Kalitatearen Bermea

1999an sortua, Xi'an Deli Biochemicalek 26 urteko esperientzia dakar ziklodextrina deribatuen fabrikazioan. Konpainiak hidroxipropil betadex eta betadex sulfobutil eter sodioaren ekoizpen kontrolatuan oinarritzen da, prozesuen koherentzia, lote batetik bestera fidagarritasuna eta epe luzerako hornidura egonkortasuna azpimarratuz. Egituratutako kalitatea kudeatzeko praktikek bezeroen eskakizun teknikoak, arauzkoak eta hornidurak onartzen dituzte.


Aplikazio-esparrua eta lankidetza teknikoa

Ziklodextrina sartzeko eta egonkortzeko mekanismoetan oinarrituta, HPBCD eta SBECD hainbat arlo teknikotan aplikagarriak dira, besteak beste, farmazia-lotutako formulazioetan, produktu kimiko berezietan, albaitaritza-produktuetan eta disolbagarritasun eta egonkortasun handiagoa behar duten beste sistema batzuetan. Xi'an Deli Biochemical-ek bazkideekin harremanetan jarraitzen du aplikazioetan oinarritutako komunikazioaren eta lankidetza teknikoaren bidez, formulazio-beharren bilakaera laguntzeko.


Xi'an Deli Biokimiko Industriako enpresei buruz

1999an sortua, Xi'an Deli Biochemical Industry Companies ziklodextrina deribatuen fabrikatzaile espezializatua da, eta mundu mailako bezeroei hidroxipropil betadex (HPBCD) eta betadex sulfobutil eter sodioa (SBECD) hornitzen ditu. Produktuen koherentzian, zehaztapen argietan eta laguntza tekniko praktikoan aspaldiko arreta jarriz, konpainiak ziklodextrinan oinarritutako irtenbide fidagarriak eskaintzeko konpromisoa jarraitzen du.


Nahi baduzu, nik ere egin dezaket:


  • Gehiago optimizatu hau Google SEOrako (tonu teknikoa murriztu gabe)
  • Kondentsatu produktuaren orrialdeko "Eguneratze teknikoa" bertsioan
  • Egoki ezazu arauzko / kalitatean oinarritutako bezeroentzat


Esadazu non argitaratzeko asmoa duzun.


Bidali kontsulta


icon
X
Cookieak erabiltzen ditugu nabigazio esperientzia hobea eskaintzeko, guneko trafikoa aztertzeko eta edukia pertsonalizatzeko. Gune hau erabiltzean, gure cookieen erabilera onartzen duzu. Pribatutasun politika
Baztertu Onartu