Sulfobutyl Ether Beta Cyclodextrin injektagarria droga-formulazio parenteraletarako eszipiente bikaina da. Xi'an DELI Biochemical-ek purutasun handiko SBEβCD eskaintzen du kalitate koherentearekin eta laguntza teknikoarekin. Jar zaitez gurekin harremanetan gaur laginak eta produktuen informazio zehatza lortzeko.
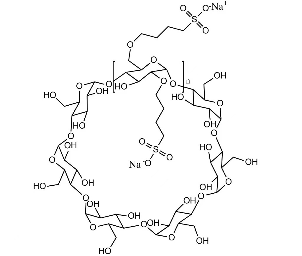
Sulfobutyl Ether Beta Cyclodextrin injektagarria(SBEβCD) purutasun handiko eta uretan disolbagarria den ziklodextrina deribatu bat da bereziki diseinatuta.droga-formulazio injektagarriak eta parenteralak. Disolbagarritasun gutxiko osagai farmazeutiko aktiboen (API) disolbagarritasuna, egonkortasuna eta bioerabilgarritasuna hobetzen ditu, inklusio-konplexu egonkorrak osatuz, sendagaien entrega koherentea eta errendimendu terapeutikoa bermatzen dutenak.
Zain barneko, muskulu barneko eta larruazalpeko aplikazioetarako egokia,SBEβCDprezipitazioa saihesten du, degradazio kimikoa murrizten du eta API sentikorrak onartzen ditu soluzio oftalmikoetan, sudurreko sprayetan eta bestelako formulazio likidoetan. Bere ur-disolbagarritasun bikainak, toxikotasun baxuak eta biobateragarritasunari esker, ikerketarako, garapen klinikorako eta produktu injektagarri komertzialetarako eszipiente hobetsia da.
Xi'an DELI Biochemical Industry Co., Ltd.1999an sortua, 26 urte baino gehiagoko esperientzia du ziklodextrina deribatuak ekoizten SBECD eta Hydroxypropyl Betadex barne. Konpainiak garbitasun handiko produktu koherenteak eskaintzen ditu kalitate kontrol zorrotzarekin, laguntza teknikoarekin eta hornikuntza global fidagarriarekin farmazia, albaitaritza eta kosmetika merkatuetarako. Analisi-ziurtagiriak (COA), datu teknikoak eta lagin-ebaluazioak eskuragarri daude zure formulazioaren garapena laguntzeko.
Jar zaitez gurekin harremanetan gaur laginak, datu teknikoak edo aurrekontua eskatzekoSulfobutil Eter Beta Ziklodextrina Injektagarria (SBEβCD)eta hobetu zure formulazio injektagarrien disolbagarritasuna, egonkortasuna eta errendimendua.

Betadex Sulfobutyl Ether Sodium CAS NO 182410-00-0
Sulfobutil Ether Beta Cyclodextrin Sodium
Betadex Sulfobutyl Ether Sodium Injekzio-maila
Betadex Sulfobutyl Ether Sodium SBECD Injektagarria Droga-formulazioetarako
Betadex Sulfobutyl Ether Sodium CAS 182410-00-0
DMF Betadex Sulfobutil Ether Sodium 182410-00-0