X
IMG
VIDEO

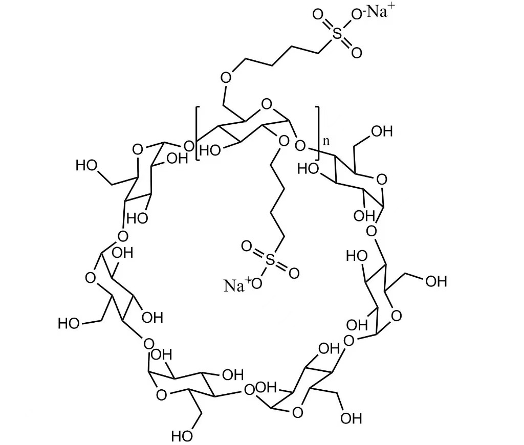
SBE-β-CD Sulfobutylether Beta Cyclodextrin Sodium Injektagarria Farmazia Excipiente

Handizkako SBE-β-CD Sulfobutylether Beta Cyclodextrin Sodium Injectable Farmazia Excipient Txinan egindako DELI-tik. SBE-β-CD (Sulfobutylether Beta Cyclodextrin Sodium) oso ur disolbagarria den eszipiente farmazeutiko injektagarria da, disolbagarritasun gutxiko APIen disolbagarritasuna, egonkortasuna eta segurtasuna hobetzeko erabiltzen den inklusio konplexu itzulgarriaren eraketaren bidez.

Bidali kontsulta

Produktuaren Deskribapena


SBE-β-CD Sulfobutylether Beta Cyclodextrin Sodium Injektagarria Farmazia Excipiente

SBE-β-CD (Sulfobutylether Beta Cyclodextrin Sodium) β-cyclodextrin deribatu anioniko oso ur disolbagarria da, aplikazio farmazeutiko injektagarrietarako diseinatua. Osagai farmazeutiko aktiboekin (APIekin) inklusio-konplexu egonkorrak eta ez-kobalenteak eratzen ditu, uretan disolbagarriak ez diren sendagaien disolbagarritasuna, egonkortasuna eta segurtasuna nabarmen hobetuz.

Bere biobateragarritasun bikaina, jarduera hemolitiko baxua eta kontrolatutako toxikotasun-profila dela eta, SBE-β-CD oso erabilia da farmakoen entrega parenteraleko sistemetan eremu terapeutiko anitzetan.


Funtsezko Abantailak


SBE-β-CDk API hidrofoboen ur-disolbagarritasuna hobetzen du formulazioaren segurtasuna mantenduz. Agente disolbatzaile tradizionalekin alderatuta, giltzurrun-toxikotasun murriztua eta narritadura txikiagoa erakusten du injekzio-guneetan, eta behin eta berriz parenteral administraziorako egokia da.


Aplikazio farmazeutikoak


SBE-β-CD formulazio injektagarri eta esteriletan aplikatzen da batez ere, barneko, muskulu barneko eta larruazalpeko dosi forma barne. Antibiral, antifungiko, onkologiko eta kardiobaskularreko produktuetan erabiltzen da, non disolbagarritasun handia eta formulazioaren egonkortasuna funtsezkoak diren.


Produktuaren zehaztapenak


Izen kimikoa Sulfobutylether Beta Cyclodextrin Sodium
CAS zenbakia. 182410-00-0
Itxura Hauts amorfo zuritik zuria
Kalifikazioa Excipiente farmazeutiko injektagarria
Disolbagarritasuna Uretan aske disolbagarria
Saiakera % 95,0 - % 105,0 (oinarri anidroa)
Batez besteko ordezkapen-maila (DS) 6.2 – 6.9
Endotoxina bakterianoak ≤ 10 EU/g
Arauak USP / EP
Iraupena 36 hilabete


Enbalatzeko zehaztapenak


Eskuragarri dauden ontziratzeko aukerak 500 g/poltsa, 1 kg/poltsa, 10 kg/poltsa eta 10 kg/danborra dira. Pertsonalizatutako ontziak eskuragarri daude hornikuntza komertzialerako eskatuz gero.


Kalitatearen Bermea


SBE-β-CD lote guztiak kalitatea kudeatzeko sistema zorrotz baten arabera fabrikatzen dira eta azterketa analitiko integralak egiten dituzte. Kalitate-parametro nagusiak, hala nola ezpurutasunak, endotoxinak, ordezkapen-maila eta lote batetik bestera koherentzia zorrotz kontrolatzen dira.

Bidalketa bakoitzari Analisi Ziurtagiria (COA) bat dator, trazabilitatea osoa eta araudia betetzea bermatzeko.


Enpresaren tituluak eta ziurtagiriak


Xi'an Deli Biochemical Industry Co., Ltd. ziklodextrinen eta haien deribatuen ikerketan, garapenean eta fabrikazioan espezializatutako goi-teknologiako enpresa bat da. 1999an sortu zen konpainiak 26 urte baino gehiagoko esperientzia du industrian.

Konpainiak eszipiente farmazeutikoak ekoizteko lerro dedikatuak lantzen ditu, fabrikazio garbi kontrolatutako eremuekin. Bere kalitatea kudeatzeko sistemak ISO 9001 ziurtagiria gainditu du, eta oinarrizko produktuak dagozkion arau-agintarietan erregistratu edo artxibatuta daude, FDA barne.


Fabrikazio-gaitasuna


Xi'an Deli Biochemical-ek SBE-β-CDrako eskala handiko ekoizpen-gaitasuna ezarri du, mundu mailako bezero farmazeutikoentzako epe luzerako hornidura fidagarria bermatuz.

Urteko produkzio-ahalmena 200 tona metrikotik gorakoa da, eta loteen tamaina tipikoa 2,5 tona metrikokoa da.


Ohiko galderak

Q1: Zein da SBE-β-CDren funtzio nagusia formulazio injektagarrietan?
A: SBE-β-CD disolbatzaile eta egonkortzaile gisa jokatzen du nagusiki, ur-disolbagarritasun gutxiko APIen ur-disolbagarritasuna eta segurtasuna hobetuz, inklusio konplexu itzulgarrien eraketaren bidez.


2.G.: SBE-β-CD egokia al da behin eta berriz zain barneko administraziorako?
A: Bai. SBE-β-CD-k aktibitate hemolitiko baxua eta giltzurruneko toxikotasun murriztua erakusten ditu solubilizazio-agente tradizionalekin alderatuta, eta behin eta berriz erabilera parenteraletarako egokia da.


Q3: Zure produktuak farmakopeiako estandarrak betetzen al ditu?
E: Gure SBE-β-CDak USP eta EP eskakizunak betetzen ditu eta kalitatea kudeatzeko sistema ziurtatu baten arabera fabrikatzen da.


4.G.: Dokumentazio teknikoa eman al daiteke?
A: Bai. COA, zehaztapenak eta datu teknikoak eskatuta daude eskuragarri.



Hot Tags: SBE-β-CD Sulfobutylether Beta Cyclodextrin Sodium Injektagarria Farmazia Excipient, Fabrikatzaileak, Hornitzaileak, Txina, Fabrika, Solana, Doako Lagina, Txinan egindakoa, Stocka, Handizkakoa, Erosi

Lotutako Kategoria

Bidali kontsulta

Mesedez, eman lasai zure kontsulta beheko formularioan. 24 ordutan erantzungo dizugu.
icon
X
Cookieak erabiltzen ditugu nabigazio esperientzia hobea eskaintzeko, guneko trafikoa aztertzeko eta edukia pertsonalizatzeko. Gune hau erabiltzean, gure cookieen erabilera onartzen duzu. Pribatutasun politika
Baztertu Onartu